Research Interest

Figure 1 - Artist impression of the nearly polar orbit of WASP-79b. Image credit: Brett Addison (modified version of the WASP-8b retrograde orbit impression by ESO/L. Calçada).

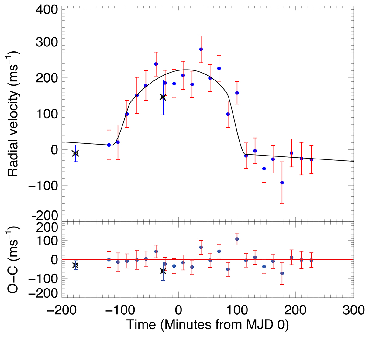
Figure 2 - Radial velocity data of WASP-79 during the transit showing the positive hump shaped velocity anomaly from the Rossiter-McLaughlin effect. Source: Addison et al. 2013.

Figure 3 - Illustration of the Kozai resonance. In a hierarchical triple system, Kozai cycles can occur if the mutual inclination between the inner planet and the outer stellar companion is
i > icrit. Source: Figure 7.6 p. 244, Astrophysics of Planet Formation, Armitage, P. J., 2010.

Figure 4 - Demonstration of the VLT NACO adaptive optics imaging in the Ks-band of the detection of a faint substellar or planetary companion. Searching for low mass stellar companions associated with planetary systems in spin-orbit misalignment could prove that the Kozai mechanism is what is driving planets into misaligned orbits. Image credit: ESO.

Figure 5 - Radial velocity measurements of TOI-257 as a function of orbital phase from Addison et al (2021). The best-fitting model is plotted as the dashed grey line and the center-of-mass velocity has been subtracted. The bottom panel shows the residuals between the data and the best-fitting model.

Figure 6 - Planet radii versus density for Neptunian planets with radii between 2 and 10 times the Earth radius from Addison et al (2021). TOI-257b is labeled and plotted in red. The Solar System planets Saturn, Uranus, and Neptune are plotted as the gold-coloured letter S, light blue coloured letter U, and dark blue coloured letter N, respectively.

Figure 7 - Artist impression of the misaligned orbit of the ultra-hot Jupiter TOI-1431b/MASCARA-5b, spin-orbit angle measured in Stangret et al (2021) and discovery paper by Addison et al (2021). TOI-1431b is one of the hottest exoplanets discovered to date with a dayside temperature of ~3000K and nightside temperature of ~2600K. The planet's nightside temperature is the second hottest ever measured. Image credit: Brett Addison

Figure 8 - The phase-folded TESS light curve for TOI-1431b, zoomed in to show the phase curve and secondary eclipses, as given in Addison et al (2021). The gray points are the detrended photometry, the dark gray points are the binned photometry with a cadence of ∼12.7 minutes, and the black stars are the binned photometry with a cadence of ∼25.5 minutes. Included in the phase-curve model fit are the ellipsoidal, the atmospheric, and the beaming modulations. The combined median model fit is plotted as the solid red line. The dark gray dashed line represents no emission from TOI-1431b. The bottom panel shows the residuals to the combined median model.
My research interests mainly revolves around the detection and characterization of extrasolar planets. The motivation behind this research is to better understand the processes involved in the formation and migration of exoplanets as well as their potential habitability.
Before the discovery of the first exoplanets, it was predicted that Jupiter mass planets would be found in long period orbits of several AU from their host star and rocky terrestrial type planets would found much closer in, as observed in the Solar System. This assumption was based on the core-accretion model (see chapter 10.6) of planet formation that was developed, in part, based on a sample size of one planetary system (our own). It was quite a surprise to most astronomers when the first exoplanets that were discovered (eg. Peg 51b) were Jupiter mass planets in very short orbits of only a few days, known as hot Jupiters. This highlights the dangers of developing a model and drawing conclusions using a limited sample size.
To explain these 'hot Jupiters', disk migration mechanisms were proposed as the most likely means to allow Jovian type planets to form several AU from their host star (as predicted from the core-accretion model) and then migrate in to much closer orbits after their initial formation. Disk migration seemed to nicely explain the observed population of hot Jupiters that were being discovered. However, this migration mechanism predicts that planets should retain their original alignment between the projected rotational angular momentum vector of their host star and the orbital plane of the planet (known as spin-orbit alignment) after migration. Since planets are expected to form from within the same disk of material forming the host star, the host star and the planet should be in spin-orbit alignment prior to the planet migrating inwards. This prediction can be directly tested through measuring the radial velocity anomaly produced from the Rossiter-McLaughlin effect when a planet is transiting across its star as viewed from Earth. I measured the spin-orbit angle for the hot Jupiter system WASP-79b (Addison et al. 2013) and found the planet to be in a nearly polar orbit (Figure 1 shows an artist impression of the orbit and Figure 2 shows the radial velocity data taken during the transit event).
Over the last two decades, nearly 200 planetary systems have had their spin-orbit alignments measured. Of these, around 30% show substantial misalignments (>22.5 degrees or π/8), including a significant number that are in nearly polar or in retrograde orbits. If indeed disk migration is the primary mechanism driving planets into small orbital periods, then one would expect most if not all planets to be in spin-orbit alignment (with the exception being if the disk itself is misaligned with the star during planet formation). This is simply not the case, thus other migration mechanisms must be at play to explain the high occurrence rates of spin-orbit misalignments.
One commonly invoked mechanism thought to drive planets in spin-orbit misalignment is the Kozai mechanism. This mechanism involves a star-planet-star triple system in which orbital inclination and eccentricity are exchanged between the planet and outer stellar companion (see Figure 3). Naoz et al. 2012 finds that this mechanism can account for about 30% of the observed Hot Jupiter population and up to 100% of the misaligned systems. If indeed the Kozai mechanism were responsible for the large number of spin-orbit misaligned systems, one would expect to find stellar companions to these systems (such as shown in Figure 4). Greame Salter and I are proposing to use the adaptive optics system (MagAO) on the 6.5m Magellan Telescope in Chile to survey systems with spin-orbit measurements in order to search for the presence of stellar companions. Results from this research will either confirm or negate the presence of stellar companions around our sampled systems and test the hypothesis that the Kozai mechanism is responsible for producing hot Jupiters in spin-orbit misalignments.
In conclusion, the research I'm conducting will hopefully shed some light on the mechanisms driving planets to migrate in tight orbits and have their orbits misaligned with the rotational axis of their host star. More work still needs to be done in measuring spin-orbit angles for newly discovered systems and testing the various migration mechanism (such as testing the Kozai mechanism by searching for stellar companions around system with spin-orbit measurements). Ground based transit surveys such as WASP (Wide Angle Search for Planets) and HATSouth and space based transit surveys such as the TESS (Transiting Exoplanet Search Satellite) mission will deliver suitable targets for such follow up work.
In addition to my work on measuring the orbital obliquities of exoplanets, I have also led efforts at UniSQ, in collaboration with Prof. Rob Wittenmyer and his team of international partners, on discovering new exoplanets using the recently built Minerva-Australis telescope array located at the Mt. Kent Observatory. I have used the Minerva-Australis telescope array to carry out RV follow-up observations of transiting planet candidates found by TESS. These observations have already contributed to the confirmation of nearly 50 TESS planets and measurements of their bulk properties such as mass, density, and orbital eccentricity (as of April 2024). Some exciting exoplanet discoveries that I have led include the warm sub-Saturn TOI-257b (RV orbit shown in Figure 5 and radius vs density plot shown in Figure 6) and the ultra-hot Jupiter TOI-1431b/MASCARA-5b (artist impression shown in Figure 7 and full-phase TESS light curve in Figure 8). For TOI-1431b, not only was I able to measure the planet's radius, mass, and density, but was also able to measure its day and nightside temperature using TESS photometry over the full-phase of the planet's orbit (as shown in Figure 8). I found that TOI-1431b has the second hottest nightside temperature (~2600K) ever measured to date (as of April 2024)! Below is an animation of TOI-1431b I created using Universe Sandbox illustrating the extreme temperature of the planet (glowing red from its thermal emissions in the red-optical), the primary transit and secondary eclipse (when the planet passes behind the star), the near retrograde orbit of the planet, and the hot (A-type) star it orbits.
Simulation of the TOI-1431/MASCARA-5 system showing the orbit of the ultra-hot Jupiter. Simulation created using Universe Sandbox by Brett Addison.
My other areas of interest include the detection and characterization of low mass (terrestrial) planets near the habitable zone and transmission and emission spectroscopy to study atmosphers of transiting planets.
The Kepler Space Telescope has been the most successful survey for finding planets to date. It has already discovered over 3500 transiting planet candidates, nearly 1000 of which are Earth or Super Earth size (RP < 1.25R♁ and 1.25R♁ ≤ RP ≤ 2.00R♁ respectively). Most of these planet candidates will turn out to be real thing though only relatively bright ones (V ≲ 12) will be followed up with radial velocity measurements for confirmation. Even more interesting are the ~36 or so Earth/super Earth mass objects orbiting in or near the habitable zone of their host star (for example Kepler-62e as shown in Figure 5). While determining the overall population and occurance rates of these planets is important, follow up characterization is needed to determine their bulk and atmospheric compositions as well as their formation and migration histories. In the future, obtaining atmospheric composition measurements through transmission and emission spectroscopy using very high precision and stable spectrographs on large ground based telescopes (such as EXPRESSO on the VLT and CODEX on the E-ELT) and space based telescopes (such as the James Webb Telescope) could be sensitive enough to detect potential biomarkers and signs of life. Finding life on another planet is one of the ultimate goals in exoplanetary science and an area of research I'm very much interested in.
Outside the realm of exoplanets, I have recently done work in the area of measuring the fine structure constant (α) and looking for spectral features that can be used as probes for determining the evolutionary state of giant stars. This work has been carried out during my time at Swinburne University of Technology as a Postdoctoral Research Associate working with Prof. Michael Murphy in the Centre for Astrophysics and Supercomputing. The aim of the fine structure constant project (see paper by Murphy et al. 2022) is to very precisely measure (on the order of a couple 100 parts per billion) any variation in α, which governs the strength of the electromagnetic force, across the Milky Way galaxy using high resolution spectra of giant stars (more specifically, red clump stars). We are observing red clump stars at distances of up to 8kpc towards the galactic center to measure Δα/α as a function of dark matter density, where dark matter is at its highest density near the galactic core. The motivation behind this project is to test 'Beyond-Standard' theories of physics that predict α varies as a function of dark matter density.
In conjunction with this project, I am also using a differential equivalent width technique on the spectra of giant stars to try to identify specific spectral features that can be used to distinguish between red clump and red giant branch (RGB) stars (stellar evolutionary stages that can overlap on color-magnitude diagrams), important for identifying a 'clean' sample of red clump stars to use for measuring Δα/α. Distinguishing between red clump and RGB stars is also important for studies of galactic archaeology of the Milky Way and nearby galaxies since red clump stars all have nearly the same absolute magnitude (generally independent of mass, metallicity, and age), making them good standard candles for measuring distances. This is not the case for RGB stars, where their absolute magnitudes are strongly dependent on mass, metallicity, and age.